Комплексная схема организации транспортного обслуживания Тулы мало перекликается с действительностью
Фото Алексея Пирязева
Участник городского движения Urban By Tram Александр Шишкин поставил под сомнение разработку комплексной схемы организации транспортного обслуживания Тулы. А вернее, компанию, которая этим занимается.
— На глаза попалась новость, где на недовольство туляка администрация города ответила, что сейчас разрабатывается некий документ «комплексной схемы организации транспортного обслуживания населения общественным транспортом Тульской городской агломерации», далее КСОТ. После изучения госзакупок нашел информацию. Победителем стало агентство «Радар». Кстати, на своем сайте они это подтверждают, — рассказывает активист.
Разработка схемы обошлась в 15 млн рублей.
— На сайте госзакупок нашел промежуточный отчет о проделанной «Радаром» работе, — говорит активист Шишкин. Он обнаружил нестыковки.
— Возьмем за пример трамваи. В таблице: оборудовано для перевозки маломобильных групп населения (далее — МГН) пять трамваев.
Странная цифра!
В реальности: в 2023 году к нам приехали 17 полностью низкопольных «Львят», с 2008 года у нас катается один ЛМ 2008 с частично низким уровнем пола и откидной аппарелью, с 2013 года — 14 вагонов УТМ 71-407, а в 2022 году приехали еще 13 б/у вагонов с частично низким уровнем пола.
В общем и целом вагонов, оборудованных для инвалидов, в Туле явно не пять.
С троллейбусами — та же беда. Указано, что для инвалидов приспособлен 41 троллейбус. А на деле — 74 единицы со 100% низким уровнем пола (64 машины модели Тролза-5265.00 «Мегаполис» и 10 машин БКМ 420030 «Витовт»).
Идем дальше.
Возраст подвижного состава.
Что написано в ТЗ: анализ организации транспортного обслуживания. Он должен включать в себя и возраст подвижного состава города.
У «Радара» нет данных по возрасту трамвайного и троллейбусного парка, а у меня почему-то есть, — говорит Александр. — На сайте transphoto.ru дата производства и начала эксплуатации вагона известна с точностью ± 1 день.
Показатели задублированности маршрутов мне показались подозрительно низкими. Идем дальше и понимаем, в чем секрет.
Тут, например, не был учтен 5-й троллейбус — самый популярный троллейбусный маршрут у туляков.
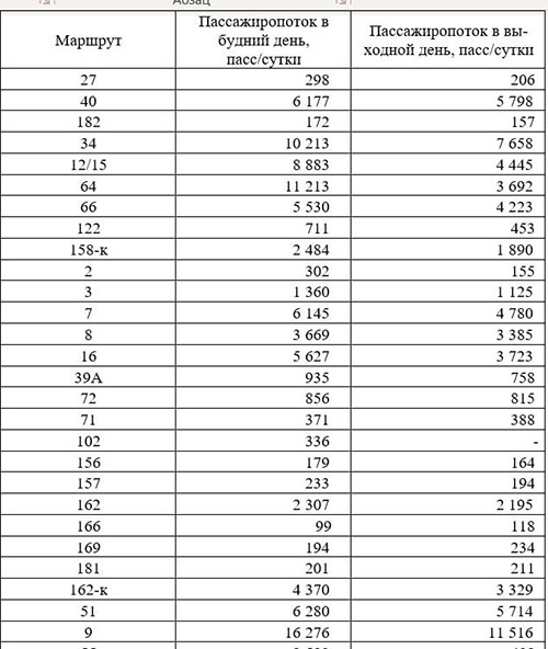
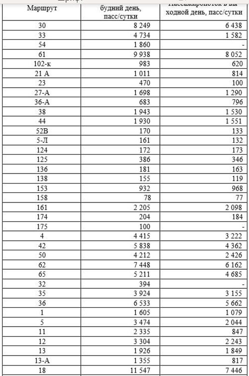
Судя по таблице «Радара», общественный транспорт в выходные в Туле ходит чаще, чем в будние дни:
Шишкин также обратил внимание на таблицу, из которой можно сделать вывод, что 25 автобусов большого и среднего класса на самом загруженном городском маршруте автобуса (18-й маршрут) перевезли пассажиров в 1,5 раза меньше, чем 30 маршруток малого класса 9-го маршрута.

На трамвае, как на метро
— Смотрим в таблице показатель «Средняя скорость поездки ОТ, км/ч» — 25,1 км/ч. Эта средняя скорость сопоставима со средней скоростью Волгоградского скоростного трамвая, который работает, как метро.
Давно вы в Туле могли добраться в час пик от станции Южной до
ул. Советской за 12 минут?
После всего вышеперечисленного стали появляться опасения за компетентность сотрудников организации, которая выиграла тендер. И еще большие опасения — за актуальность КСОТ нашего города, — говорит активист.
Шишкин просит администрацию и контролирующие органы обратить внимание на указанные факты и, возможно, поручить разработку комплексной транспортной схемы другой фирме.
Полная версия: myslo.ru